This website requires JavaScript.
Explore
Help
Register
Sign In
github
/
concrete
Watch
1
Star
1
Fork
0
You've already forked concrete
mirror of
https://github.com/zama-ai/concrete.git
synced
2026-02-18 08:31:31 -05:00
Code
Issues
Packages
Projects
Releases
Wiki
Activity
Files
5370fb3cf9a78b84c2eaeea9d147a18fc54df36b
concrete
/
docs
/
_static
/
tutorials
/
artifacts
/
manual
/
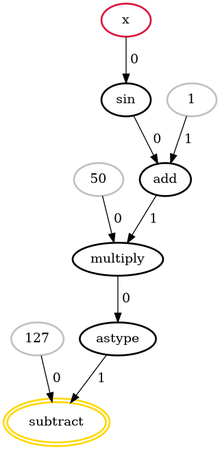
1.initial.graph.png
aquint-zama
fdf6f41a89
docs(frontend/python): overhaul python frontend docs
2023-04-11 10:15:42 +02:00
42 KiB
321x655px
Raw
History
Reference in New Issue
View Git Blame
Copy Permalink