Files
concrete/docs/howto/debug.md
2023-03-07 13:26:44 +01:00

8.2 KiB

Debug

In this section, you will learn how to debug the compilation process easily as well as how to get help in case you cannot resolve your issue.

Debug Artifacts

Concrete-Numpy has an artifact system to simplify the process of debugging issues.

Automatic export.

In case of compilation failures, artifacts are exported automatically to the .artifacts directory under the working directory. Let's intentionally create a compilation failure to show what kinds of things are exported.

def f(x):
    return np.sin(x)

This function fails to compile because Concrete-Numpy does not support floating-point outputs. When you try to compile it, an exception will be raised and the artifacts will be exported automatically. If you go the .artifacts directory under the working directory, you'll see the following files:

environment.txt

This file contains information about your setup (i.e., your operating system and python version).

Linux-5.12.13-arch1-2-x86_64-with-glibc2.29 #1 SMP PREEMPT Fri, 25 Jun 2021 22:56:51 +0000
Python 3.8.10

requirements.txt

This file contains information about python packages and their versions installed on your system.

alabaster==0.7.12
appdirs==1.4.4
argon2-cffi==21.1.0
...
wheel==0.37.0
widgetsnbextension==3.5.1
wrapt==1.12.1

function.txt

This file contains information about the function you tried to compile.

def f(x):
    return np.sin(x)

parameters.txt

This file contains information about the encryption status of the parameters of the function you tried to compile.

x :: encrypted

1.initial.graph.txt

This file contains the textual representation of the initial computation graph right after tracing.

%0 = x              # EncryptedScalar<uint3>
%1 = sin(%0)        # EncryptedScalar<float64>
return %1

1.initial.graph.png

This file contains the visual representation of the initial computation graph right after tracing.

2.final.graph.txt

This file contains the textual representation of the final computation graph right before MLIR conversion.

%0 = x              # EncryptedScalar<uint3>
%1 = sin(%0)        # EncryptedScalar<float64>
return %1

2.final.graph.png

This file contains the visual representation of the final computation graph right before MLIR conversion.

traceback.txt

This file contains information about the error you received.

Traceback (most recent call last):
  File "/home/default/Documents/Projects/Zama/hdk/concrete/numpy/compilation/compiler.py", line 320, in compile
    mlir = GraphConverter.convert(self.graph)
  File "/home/default/Documents/Projects/Zama/hdk/concrete/numpy/mlir/graph_converter.py", line 298, in convert
    GraphConverter._check_graph_convertibility(graph)
  File "/home/default/Documents/Projects/Zama/hdk/concrete/numpy/mlir/graph_converter.py", line 175, in _check_graph_convertibility
    raise RuntimeError(message)
RuntimeError: Function you are trying to compile cannot be converted to MLIR

%0 = x              # EncryptedScalar<uint4>
%1 = sin(%0)        # EncryptedScalar<float64>
^^^^^^^^^^^^^^^^^^^^^^^^^^^^^^^^^^^^^^^^^^^^^^ only integer operations are supported
return %1

Manual export.

Manual exports are mostly used for visualization. Nonetheless, they can be very useful for demonstrations. Here is how to perform one:

import concrete.numpy as cnp
import numpy as np

artifacts = cnp.DebugArtifacts("/tmp/custom/export/path")

@cnp.compiler({"x": "encrypted"})
def f(x):
    return 127 - (50 * (np.sin(x) + 1)).astype(np.int64)

inputset = range(2 ** 3)
circuit = f.compile(inputset, artifacts=artifacts)

artifacts.export()

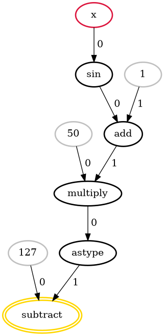
If you go to the /tmp/custom/export/path directory, you'll see the following files:

1.initial.graph.txt

This file contains the textual representation of the initial computation graph right after tracing.

%0 = 127                           # ClearScalar<uint7>
%1 = 50                            # ClearScalar<uint6>
%2 = 1                             # ClearScalar<uint1>
%3 = x                             # EncryptedScalar<uint1>
%4 = sin(%3)                       # EncryptedScalar<float64>
%5 = add(%4, %2)                   # EncryptedScalar<float64>
%6 = multiply(%1, %5)              # EncryptedScalar<float64>
%7 = astype(%6, dtype=int_)        # EncryptedScalar<uint1>
%8 = subtract(%0, %7)              # EncryptedScalar<uint1>
return %8

1.initial.graph.png

This file contains the visual representation of the initial computation graph right after tracing.

2.after-float-fuse-0.graph.txt

This file contains the textual representation of the intermediate computation graph after fusing.

%0 = 127                     # ClearScalar<uint7>
%1 = x                       # EncryptedScalar<uint1>
%2 = subgraph(%1)            # EncryptedScalar<uint1>
%3 = subtract(%0, %2)        # EncryptedScalar<uint1>
return %3

Subgraphs:

    %2 = subgraph(%1):

        %0 = 50                            # ClearScalar<uint6>
        %1 = 1                             # ClearScalar<uint1>
        %2 = input                         # EncryptedScalar<uint1>
        %3 = sin(%2)                       # EncryptedScalar<float64>
        %4 = add(%3, %1)                   # EncryptedScalar<float64>
        %5 = multiply(%0, %4)              # EncryptedScalar<float64>
        %6 = astype(%5, dtype=int_)        # EncryptedScalar<uint1>
        return %6

2.after-fusing.graph.png

This file contains the visual representation of the intermediate computation graph after fusing.

3.final.graph.txt

This file contains the textual representation of the final computation graph right before MLIR conversion.

%0 = 127                     # ClearScalar<uint7>
%1 = x                       # EncryptedScalar<uint3>
%2 = subgraph(%1)            # EncryptedScalar<uint7>
%3 = subtract(%0, %2)        # EncryptedScalar<uint7>
return %3

Subgraphs:

    %2 = subgraph(%1):

        %0 = 50                            # ClearScalar<uint6>
        %1 = 1                             # ClearScalar<uint1>
        %2 = input                         # EncryptedScalar<uint1>
        %3 = sin(%2)                       # EncryptedScalar<float64>
        %4 = add(%3, %1)                   # EncryptedScalar<float64>
        %5 = multiply(%0, %4)              # EncryptedScalar<float64>
        %6 = astype(%5, dtype=int_)        # EncryptedScalar<uint1>
        return %6

3.final.graph.png

This file contains the visual representation of the final computation graph right before MLIR conversion.

bounds.txt

This file contains information about the bounds of the final computation graph of the function you are compiling using the inputset you provide.

%0 :: [127, 127]
%1 :: [0, 7]
%2 :: [2, 95]
%3 :: [32, 125]

mlir.txt

This file contains information about the MLIR of the function you compiled using the inputset you provided.

module  {
  func @main(%arg0: !FHE.eint<7>) -> !FHE.eint<7> {
    %c127_i8 = arith.constant 127 : i8
    %cst = arith.constant dense<"..."> : tensor<128xi64>
    %0 = "FHE.apply_lookup_table"(%arg0, %cst) : (!FHE.eint<7>, tensor<128xi64>) -> !FHE.eint<7>
    %1 = "FHE.sub_int_eint"(%c127_i8, %0) : (i8, !FHE.eint<7>) -> !FHE.eint<7>
    return %1 : !FHE.eint<7>
  }
}

Asking the community

You can seek help with your issue by asking a question directly in the community forum.

Submitting an issue

If you cannot find a solution in the community forum, or you found a bug in the library, you could create an issue in our GitHub repository.

In case of a bug:

  • try to minimize randomness
  • try to minimize your function as much as possible while keeping the bug - this will help to fix the bug faster
  • try to include your inputset in the issue
  • try to include reproduction steps in the issue
  • try to include debug artifacts in the issue

In case of a feature request:

  • try to give a minimal example of the desired behavior
  • try to explain your use case